We
are solving series of problems basing on the concept expansion of liquids. The
molecular force of attraction among liquid is comparatively less than that of
solids. When heat energy is given to a solid, the recovery of molecules back to
their original position is less probable than solids and hence expansion of
liquids is more than that of solids. There is no specific length and area of
cross section for a liquid and hence there is no linear and areal expansion.
Expansion of liquids is studies only in terms of volume expansion. Liquid has
to be taken in a container and the container will first absorb heat energy and
it expands first. So the expansion of liquid appears to be different from real
expansion and hence we need to study liquid expansion in terms of apparent and
real expansions and to measure them we have different expansion coefficients.
Problem
A
liquid is heated in a vessel and the relation between apparent and real
expansion coefficients is given to us as shown in the diagram below. We need to
find the coefficient of linear expansion of the solid container.
Solution
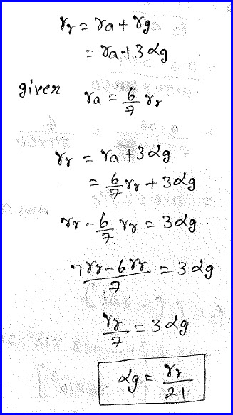
We
know that the liquid has two different types of coefficients called real
expansion coefficient and apparent expansion coefficient. When the container
expands with the rise in temperature, real expansion coefficient is more than
that of apparent expansion coefficient. We also know that the coefficient of
real expansion is the sum of coefficient of apparent expansion and the volume
expansion coefficient of solid container. Substituting the given data of the
problem, it can be solved as shown in the diagram below.
Problem
Coefficient
of real expansion of the liquid are given to us in the problem and coefficient
of linear expansion of the material is also given to us in the data. We need to
find the coefficient of apparent expansion of the liquid and the problem is as
shown in the diagram below.
Solution
We
know the relation between the apparent and real expansion coefficients and we
can use it to solve the problem as done in the previous problem. Solution is as
shown in the diagram below.
Problem
Coefficients
of apparent expansion of a liquid in two different vessels is given to us and
we need to find the difference between the coefficients of linear expansion
coefficients and the problem is as shown in the diagram below.
Solution
As
the liquid is same in both the cases, its coefficient of real expansion is same
and it can be equated in both the cases basing on the definition.Solution is as
shown in the diagram below.
Problem
There
is certain mass of the liquid at a given temperature and there is some overflow
of liquid when there is raise in the temperature. We need to find the
coefficient of apparent expansion of the liquid and the problem is as shown in
the diagram below.
Solution
We
can express coefficient of apparent expansion of the liquid as the ratio of
mass of the liquid over flown due to raise of the temperature to the remaining
mass of the liquid after over flown. Taking that into consideration, we can
solve the problem as shown in the diagram below.
Problem
A
specific gravity bottle has certain mass of liquid in it at certain temperature
and when the temperature is raised to a certain value, we need to know the mass
of the liquid expelled and the problem is as shown in the diagram below.
Solution
We
can solve the problem based on the definition of coefficient of apparent
expansion of the liquid. We know that it can be the ratio of mass of the liquid
expelled to the mass remaining after the raise of the temperature. Solution is
as shown in the diagram below.
Problem
There
is some mercury in a glass vessel of one liter volume and its volume remains
constant in the vessel at all temperature and we need to find the volume of the
mercury filled so that its volume appears constant at all temperatures. Problem
is as shown in the diagram below.
Solution
For
the level to remain constant at all temperatures, the expansion of mercury
shall be similar to expansion of glass vessel. Taking that definition into
consideration, we can solve the problem as shown in the diagram below.
Problem
A
body is floating in the water with 98 % immersed at 4 degree centigrade. We
need to know at what temperature the body completely gets immersed in the
liquid and the problem is as shown in the diagram below.
Solution
We
can use the definition of coefficient of apparent expansion as shown in the
diagram below and solve the problem.
Related Posts














Very helpful
ReplyDeleteVery thankssssssssssds
ReplyDeleteTQ I UNDERSTOOD THE CONCEPT VERY
ReplyDelete